Страница 2 из 4 ПерваяПервая 1234 ПоследняяПоследняя
Показано с 31 по 60 из 109

Тема: Добавки к ДИПу - стоит попробовать или нет ?

  1. Цитата Сообщение от slawa36 Посмотреть сообщение
    Да...а, есть над чем задуматься.

    только сейчас?

  2. Андрей Маслов,
    Где можна приобрести Ваши аминодобавки у нас в Запорожской обл.?
    Если друг оказался вдруг,и не друг и не враг,а КАРП

  3. #33
    Регистрация
    20.10.2009
    Адрес
    Украина, г. Харьков
    Сообщений
    1,607
    Записей в дневнике
    3

    ДИП стоит попробовать или нет

    Цитата Сообщение от Дмитрий Нечаев Посмотреть сообщение
    … У одного меня мозг взорвался? …
    Простите, может быть, я опять непонятно написал. Попробую еще раз, но еще проще.

    Цитата Сообщение от Григорий Посмотреть сообщение
    … Имеем желатиновые, а значит растворимые в теплой воде, гранулы препарата, содержащего до 10% Кантаксантина. Это значит, что 1 грамм порошка будет содержать 100мг кантаксантина. Если принять за необходимую концентрацию кантаксантина в корме для рыб равной 20мг/1кг корма, то имеем 1 грамм Карофилла красного на 5кг нашего микса. (100мг/20мг/кг=5кг)

    Для удобства использования, растворяем 1грамм порошка Карофилла Красного в 10мл теплой воды (до 40грС), и добавляем окрашенную воду в мясную добавку в наш микс. Затем добавляем мясную составляющую микса в микс, вымешиваем микс. …
    КАРОФИЛЛ Красный это высушенные желатиновые капельки, или гранулы. Один грамм КАРОФИЛЛ Красный содержит 100000 таких гранул. Эти гранулы содержат Кантаксантин, Этоксиквин и Аскорбил пальмитат. Мы рассчитываем только содержание, нужного нам Карофилла, так как Этоксиквин и Аскорбил пальмитат добавлены в желатин только как оксиданты.

    КАРОФИЛЛ Красный содержит Кантаксантин в концентрации не менее 8,00%, но не более 10,00%.

    Рассчитываем по большей концентрации.

    1грамм КАРОФИЛЛ Красный содержит Кантаксантина 10,00%, или 1грамм*10%/100=0,1грамм Кантаксантина. Или: 0,1грамм=100мг Кантаксантина.

    Мы хотим, чтобы в нашем миксе было не больше 20,00мг Кантаксантина на 1кг создаваемого нами микса.

    Значит 1грамм КАРОФИЛЛ Красный, который содержит 100,00мг действующего вещества, нам нужно добавить в 100,00/20,00=5кг создаваемого нами микса.

    Если добавлять КАРОФИЛЛ Красный в гранулах, то он может не раствориться в нашем миксе. Для гарантированного растворения КАРОФИЛЛ Красный, предварительно растворяем гранулы КАРОФИЛЛ Красный в теплой воде.

    Окрашенную воду лучше всего добавлять в мясные составляющие создаваемого нам и микса. С чем мы делаем наш микс? Если с печенью, то добавляем воду, окрашенную КАРОФИЛЛ Красный, в печень, если с рыбой, то добавляем воду, окрашенную КАРОФИЛЛ Красный, в рыбный фарш. После такого окрашивания, добавляем окрашенную нами мясную составляющую нашего микса в создаваемый нами микс.

    С уважением, Григорий Сиваченко.
    Последний раз редактировалось Григорий; 10.07.2010 в 12:58.

  4. Григорий, скажи мне пожалуйста,что именно убрали из робин реда(какая то составляющая стала на запрет )

  5. #35
    Регистрация
    20.10.2009
    Адрес
    Украина, г. Харьков
    Сообщений
    1,607
    Записей в дневнике
    3

    ДИП стоит попробовать или нет

    Цитата Сообщение от sasha z Посмотреть сообщение
    Григорий, скажи мне пожалуйста,что именно убрали из робин реда(какая то составляющая стала на запрет )
    В 1990-х годах, было модно добавлять в свои бойлы птичий корм.

    Птичий корм Robin Red (Малиновка Красная), предназначенный для певчих дроздовых птиц, содержал в качестве красителя Carophyll Red, в который входит Кантаксантин. В этом корме он выполнял функции улучшения окраски оперения птиц.

    После замора рыбы в каком-то английском водоеме, виновными в заморе рыбы, назначили рыбаков использующих приманки своего собственного изготовления, в частности, тех, кто использует красители.

    Было громкое разбирательство, в результате которого из птичьего корма Robin Red (Малиновка Красная) исчез Carophyll Red. После чего, рыбаки заметили, что на новый Robin Red рыба клюет значительно хуже, чем клевала на старый Robin Red.

    Сегодня мы знаем, в частности про Кантаксантин, значительно больше и очень много нового. Этот каротиноид не токсичен и физически не мог стать причиной замора рыбы, вероятнее всего, замор имел другую причину.

    Сегодня говорят, что использование этого каротиноида в пище удлиняет жизнь.

    Недовольные обвинители создателей собственных насадок были и будут всегда. Например, Жилин Алексей Яковлевич, поносящий меня в своей статье, в журнале "Рыболов профи" №4(47)2010, утверждает, что рыбу в водоемах можно сберечь, лишь собрав "продвинутых карпфишингистов" на водоемы для спортивной рыбалки, по тому, как: "… видел я лично, и не единожды, как на самых разных прудах, в непромышленных зонах, вдруг ни с того, ни сего массово дохла рыба. Кто-нибудь может гарантировать, что такие эксперименты здесь ни при чем? …".

    Короче говоря, Кантаксантин, даже в концентрации 8000г/кг корма, не может вызвать замор рыбы. Соответствующие исследования были проведены в странах ЕС. Результатом таких исследований был принят рекомендуемый максимум концентрации E161g, в продуктах питания: не более 80г/кг.

  6. После замора рыбы в каком-то английском водоеме, виновными в заморе рыбы, назначили рыбаков использующих приманки своего собственного изготовления, в частности, тех, кто использует красители.

    Было громкое разбирательство
    Есть ссылка?
    любая - статья, форум, книга, мнем все равно

  7. #37
    Регистрация
    20.10.2009
    Адрес
    Украина, г. Харьков
    Сообщений
    1,607
    Записей в дневнике
    3

    ДИП стоит попробовать или нет

    Цитата Сообщение от JohnSmith Посмотреть сообщение
    … Есть ссылка? любая - статья, форум, книга, мне все равно …
    К моему большому сожалению, все ссылки на сайты, взятые мною до 2005 года уже либо не работают, либо ссылаются на другую информацию. А что Вас, собственно, смутило в моем сообщении?

  8. проехали
    больше вопросов не будет

  9. так и что теперь?
    Carophyll Red есть в робин реде или все таки нету?

  10. #40
    Регистрация
    20.10.2009
    Адрес
    Украина, г. Харьков
    Сообщений
    1,607
    Записей в дневнике
    3

    ДИП стоит попробовать или нет

    Цитата Сообщение от JohnSmith Посмотреть сообщение
    … проехали, больше вопросов не будет …
    Да нет же, право, мне очень интересны мотивы, побудившие Вас отправить меня на поиск ссылок.

    Судя по всему, мои доводы Вам не очень нужны.

    Надеюсь, что Вы примете, в качестве косвенного подтверждения моих слов, мнение признанного авторитета, хотя его высказывания носят более категоричный и красочный характер, я бы сказал, он демонстрирует хороший русский стиль изложения своего мнения:
    "… Робин Ред - супер ингредиент, не правда ли? Вернее был… супер. Забудем про сумашедшую цену, по которой он продается сейчас (спасибо Вам - сами знаете кто), Робин Ред нынешний живет за счет репутации, заработанной в прошлом. Оригинальный (изначальный) Робин Ред широко использовался в 70/80/90-х годах очень известными рыбаками и продавался он в 25 килограммовых мешках и был готовым кормом для птиц с красным карофиллом, который придавал окраску оперению птиц, а нормы его включения в базовые миксы были совсем другими! Я включал его до 45 процентов - если чуть больше, то скатать бойл было уже невозможно. Красный карофилл теперь запрещен для применения в птичьих кормах, поэтому современный Робин Ред - это просто дорогой красный краситель для бойла, не больше и не меньше! Каждый, кто покупает его сегодня, должен провериться у врача - все ли у него в порядке с той частью тела, что находится выше шеи? …"

    Peter Boughton В поисках совершенной насадки? часть III

    Peter Boughton В поисках совершенной насадки? часть III

  11. #41
    Регистрация
    20.10.2009
    Адрес
    Украина, г. Харьков
    Сообщений
    1,607
    Записей в дневнике
    3

    ДИП стоит попробовать или нет

    Цитата Сообщение от sasha z Посмотреть сообщение
    … так и что теперь? Carophyll Red есть в робин реде или все-таки нет? …
    Обычно я читаю этикетку, на которой обозначен список ингредиентов входящих в состав продукта. Наверное, я дурно воспитан, считая, что в состав содержимого упаковки входят только ингредиенты, перечисленные на этикетке. Если продукта нет на этикетке, я считаю, что его также нет во флаконе, и предпочитаю купить этот продукт у другого производителя.

    Для справки, Кантаксантин (Canthaxanthin, E161g) входит в состав продуктов: Carophyll Red; Roxanthin Red; Neoxanthin Red.
    Последний раз редактировалось Григорий; 11.07.2010 в 13:51.

  12. Доброго времени суток Григорий! Подскажите пож-та какое % содержание карофилла находится в облепиховом масле? Где то слышал , что работает на ура. Если имеется такая инфо.Буду признателен вам!

  13. #43
    Регистрация
    20.10.2009
    Адрес
    Украина, г. Харьков
    Сообщений
    1,607
    Записей в дневнике
    3

    ДИП стоит попробовать или нет

    Цитата Сообщение от Sansay Посмотреть сообщение
    … Подскажите пож-та какое % содержание карофилла находится в облепиховом масле? Где-то слышал, что работает на ура. Если имеется такая инфо. Буду признателен вам! …
    Carophyll это торговая марка продуктов содержащих несколько каротиноидов. Не слышал, чтобы его добавляли в облепиховое масло. Само облепиховое масло, это скорее не масло, а паста – смесь из отжатых косточек и плодов облепихи. Эта смесь, конечно, содержит от 1% до 6% каротиноидов, но это и вся его привлекательность для ловли карпа.

    Состав Жирных Кислот, входящих в это масло:
    Насыщенные:
    С14:0 (миристиновая): от 0,80% до 1,45%;
    С16:0 (пальмитиновая): от 29,65% до 40,00%;
    С18:0 (стеариновая): от 1,27% до 1,50%;
    Мононенасыщенные: ω-9
    С16:1 (пальмитолеиновая/гексадесеновая): от 22,00% до 33,24%;
    С18:1 (олеиновая): от 9,02% до 13,95%;
    Полиненасыщенные:
    С18:2 (линолевая): от 13,40% до 16,94%; ω-6
    С18:3 (альфа-линоленовая): от 3,70% до 6,76%; ω-3

    Добавьте каротеноиды в Льняное масло. Например, бета-каротин для спортсменов, из расчета содержимое 1капсулы на 1кг сухого микса, результат будет лучше, гарантированно.

    Если не хотите добавлять Льняное масло, то, на мой взгляд, Косточковое масло, масло Косточек сливы, Персиковое масло, будут значительно привлекательнее облепихового масла.

  14. Спасибо вам Григорий! Просветили, миф об облепиховом масле развеян.Насчет Льняного масла и бета-каротина для спортсменов мысль хорошая,надо опробывать обязательно.

  15. Андрей Маслов,
    Я - дремал, потихоньку потягивая свежайшее холодное "живое" кеговое пиво ("живое" - непастеризованное, срок хранения - 15 дней при температуре до 20-ти градусов). Прямо перед выездом на рыбалку, утром, для меня открыли новый кег .

    Андрей Маслов, Из ядерной химии мне это больше всего понравилось.

  16. #46
    Регистрация
    06.02.2010
    Адрес
    Черновцы (Запад.Украина)
    Возраст
    46
    Сообщений
    656
    Подскажите
    Использовал ли кто-нибудь мёд в качестве дипа? ричи йокатан мокать перед забросом?

  17. Ричи-мед ничего схожего с натуральным медом не имеет. "Мед" - это техническое (как то ведь надо обозначить) название определенной комбинации атрактантов. Вы же не думаете, что бойлы "Клубника" или "Слива" любой фирмы имеют какую то связь с вышеупомянутыми ягодами?

    А в мед мокать (как и в воду как и в сироп сахарный) можно, хуже не будет. Будет ли лучше? Тут все зависит от Вашей веры в в данную процедуру.

  18. Использование натурального мёда.Давным давно это было,пару лет назад писал об этом на немецком Евро-Карпе.Всё никак руки не доходят замутить тоже самое.
    : 20-01-2008, 19:53 Тема:

    --------------------------------------------------------------------------------

    Раньше когда у нас было не достать бойлов делал так.Находил банку из под леденцов (кто помнит,давным давно такие были ) или железную кробочку для кипячения шприцов.Засыпаеш туда манку,чтобы было западлицо,добавляеш туда воду чтобы хорошо всё смачилось.Закрываешь все это дело плотно крышкой,обматываешь изолентой или скочем и в кипяшую воду на минут сорок.Затем достаём и ждём пока остынет.Аккуратненько цельной массой всё это выкалупываем Манка получается плотная как резина и нарезаем из этой массы что хочется шарики,квадратики и т.п. А потом самое интерестное,бросаем то что мы накоцали в баночку с мёдом(мёд предврительно до этого желательно разогреть горячей водой)Со временем мёд впитывается в манку выдавливая воду.Мёд желательно гречишный,запах более стойкий.Всё натур продукт.Запах мёда даже на илу очень хорошо держиться.Ловил и не плохо на сей продукт,даже сазана поймал на 9.2кг в дикой речке.
    Последний раз редактировалось Саня 39; 06.08.2010 в 21:01.

  19. #49
    Регистрация
    22.01.2009
    Адрес
    Воронежская обл.
    Возраст
    58
    Сообщений
    4,751
    Цитата Сообщение от Григорий Посмотреть сообщение
    Не все так просто в Датском королевстве.

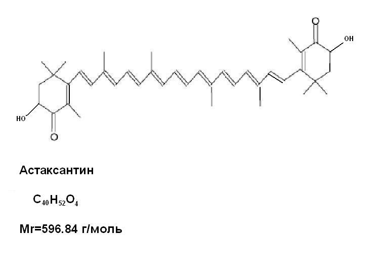
    Астаксантин C40H52O4 (содержит 2 группы –ОН), Мr=596,84 г/моль;

    Кантаксантин C40H52O2 (группы –ОН не содержит), Мr=564,82 г/моль;

    Мне так кажется.
    И далее....

    Астаксантин и Кантаксантин это каротиноиды, имеющие ненасыщенные связи, две из которых находятся в фенольных кольцах (по одной на кольцо), девять в углеводородной цепочке у Кантаксантина и девять в углеводородной цепочке у Астаксантина....

    Т.е. 40 ну никак не равно 21

    При всем уважении, уважайте хоть чуть химию

  20. Цитата Сообщение от Лёша Посмотреть сообщение
    Подскажите
    Использовал ли кто-нибудь мёд в качестве дипа? ричи йокатан мокать перед забросом?
    да, только диповать надо долго. карпуша такой натурпродукт уважает....

  21. #51
    Регистрация
    20.10.2009
    Адрес
    Украина, г. Харьков
    Сообщений
    1,607
    Записей в дневнике
    3

    Дип стоит попробовать или нет

    Цитата Сообщение от makh67 Посмотреть сообщение
    И далее....
    Астаксантин и Кантаксантин это каротиноиды, имеющие ненасыщенные связи, две из которых находятся в фенольных кольцах (по одной на кольцо), девять в углеводородной цепочке у Кантаксантина и девять в углеводородной цепочке у Астаксантина....

    Т.е. 40 ну никак не равно 21

    При всем уважении, уважайте хоть чуть химию
    Астаксантин формула
    Кантаксантин формула

    Я прав, со всем моим уважением к Вам и химии.

  22. #52
    Регистрация
    22.01.2009
    Адрес
    Воронежская обл.
    Возраст
    58
    Сообщений
    4,751

    другое дело...
    Последний раз редактировалось makh67; 14.10.2010 в 14:09.

  23. #53
    Регистрация
    06.02.2010
    Адрес
    Черновцы (Запад.Украина)
    Возраст
    46
    Сообщений
    656
    Подскажите
    Как дома сделать чесночный дип? без масла! для холодной воды, такое возможно?

  24. #54
    Регистрация
    20.10.2009
    Адрес
    Украина, г. Харьков
    Сообщений
    1,607
    Записей в дневнике
    3

    Добавки к дипу - стоит попробовать

    Цитата Сообщение от Лёша Посмотреть сообщение
    Подскажите
    Как дома сделать чесночный дип? без масла! для холодной воды, такое возможно?
    Лучше всего на льняном масле. Его температура замерзания -15грС, "засада" исключена, плюс всплывание частиц и питание для бактерий рода Pseudomonas.

  25. #55
    Регистрация
    06.02.2010
    Адрес
    Черновцы (Запад.Украина)
    Возраст
    46
    Сообщений
    656
    Спешу поделится.
    Вчера неплохо отловился (6 поклёвок, остальные на оезере по нулям). Из насадок было перепробавано многое, рулил белый шоколад от ричи подрезанный примерно до 10-12 размера и натёртый чесноком, хорошенечко натёртый. Получился очень приятный запах (зимой читал, что миксуют разные, вроде противоположные запахи)
    запах очень стойкий, руки на водоёме не отмоешь от него.
    В пва миксе присутсвовала приправа -чеснок сушёный молотый, в сухом виде.
    Получился хороший раздражитель.
    П.С. Льняное масло не нашёл, сезон закончился, уже не возят.
    Пробовал этот же подрезанный бойл в чистом виде и замоченный в аминах--не работало.

  26. Лёша, Ну так понятно, Украина все таки. Только, Леша, наверное ты недоговариваешь...не только чесночок использовал, а с сальцом...

  27. #57
    Регистрация
    06.02.2010
    Адрес
    Черновцы (Запад.Украина)
    Возраст
    46
    Сообщений
    656
    ks68,
    Скажу тебе "по чесноку", сало не для дипования, им закусюют!)

  28. #58
    Регистрация
    02.11.2007
    Адрес
    Краснодар
    Возраст
    37
    Сообщений
    2,348
    Записей в дневнике
    1
    Вот такой ДИП кто нибудь использовал?
    Харьковчане, может кто то знает человека который это придумал?
    Мне понравился(верней карпу).
    Миниатюры Миниатюры Нажмите на изображение для увеличения
Название: IMG_0463.JPG
Просмотров: 246
Размер:	100.0 Кб
ID:	2779   Нажмите на изображение для увеличения
Название: IMG_0464.JPG
Просмотров: 226
Размер:	124.0 Кб
ID:	2780  

  29. Дипы-интерестная тема.Фирменными давно уже не пользуюсь,хотя до сих пор имею их кучу.ИМХО Фирменные дипы,так же как и поп ап несут в себе только запах.На который карп,реагирует только любопытностью.ИМХО. Дип так же как и сам бойл должен "издавать" не только любопытства(запах),но и сигнал что это съедобно...Собираюсь в следующем сезоне вплотную заняться самодельными дипами,на основе аминокислот,витаминов и прочего и прочего.Для начала,хотелось бы по этому поводу услышать мнение Андрея(makh67).Вопросов куча по этой теме...
    Последний раз редактировалось Саня 39; 13.02.2011 в 23:35.

  30. #60
    Регистрация
    22.01.2009
    Адрес
    Воронежская обл.
    Возраст
    58
    Сообщений
    4,751
    Любой бойл , если съедобен конечно, рано или поздно будет съеден. Вопрос когда (по времени). На рыбалке всегда времени не хватает. А уж для спортсменов на соревах и тем более. Поэтому

    ИМХО Соревы щас- война дипов. А уж от туда все перейдет и на простую рыбалку.
    Харьковчане реально молодцы , им все надо и интересно. Амино-карп, амино-дип, экстракты мотыля, и т.п.
    Последний раз редактировалось makh67; 14.02.2011 в 11:59.

Страница 2 из 4 ПерваяПервая 1234 ПоследняяПоследняя

Информация о теме

Пользователи, просматривающие эту тему

Эту тему просматривают: 1 (пользователей: 0 , гостей: 1)

Похожие темы

  1. Статья: Стоит ли применять лидер?
    от Carper в разделе Материалы сайта
    Ответов: 19
    Последнее сообщение: 20.01.2012, 13:18
  2. Что нам стоит дом построить...
    от Дмитрий Нечаев в разделе Карповое оборудование и снасти
    Ответов: 28
    Последнее сообщение: 29.04.2010, 12:20
  3. Стоит ли притапливать леску?
    от Michael в разделе Оснастки и монтажи
    Ответов: 25
    Последнее сообщение: 16.03.2007, 14:53

Ваши права

  • Вы не можете создавать новые темы
  • Вы не можете отвечать в темах
  • Вы не можете прикреплять вложения
  • Вы не можете редактировать свои сообщения
  •